Use Synthetic Division And Remainder Theorem Calculator

Remainder Theorem Definition Examples Video Lesson Transcript Study Com

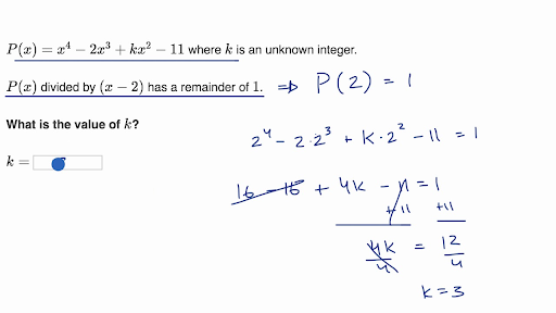
Solved Use Synthetic Division And The Remainder Theorem T Chegg Com

Remainder Theorem And Synthetic Division Of Polynomials Youtube
Solved 3 1 Solve The Problem Use Synthetic Division And Chegg Com

Polynomial Long Division Review A B Synthetic Division Step 1 Write The Polynomial In Descending Order By Degree And Write Any Zero Coefficients Ppt Download

How To Apply Factor Remainder Theorem Polynomial Division Synthetic Long Precalc Precalculus 2 3 Youtube
Solved Use Synthetic Division And The Remainder Theorem T Chegg Com

Factor Theorem And Synthetic Division Of Polynomial Functions Youtube

Dividing Polynomials And The Remainder Theorem Solutions Examples Videos Worksheets Activities

7 1 Synthetic Division The Remainder Factor Theorems Ppt Video Online Download

6 5 Synthetic Division And The Remainder Theorem Ppt Video Online Download

Remainder Theorem Video Lessons Examples And Solutions

Solved Use Synthetic Division And The Remainder Theorem T Chegg Com

The Remainder Theorem Top Online General

Dividing Polynomials And The Remainder Theorem Part 2 Youtube

Use The Remainder Theorem And Synthetic Division To Find F K Youtube

The Remainder Theorem Example 1 Youtube
Remainder Theorem Examples Video Khan Academy

Solved Use The Remainder Theorem And Synthetic Division T Chegg Com
